Missing Numbers
Math Concepts
Add / Subtract- 2-digit numbers
Materials
Paper, pencil
Players
2
The Challenge
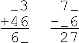
Fill in the missing digits in an addition or subtraction puzzle:

Create
Take an addition or subtraction equation and leave out some of the digits. For example, the above two puzzles were created by leaving out two digits from these original equations.

Discussion and Tips
Students often find these puzzles more engaging than the corresponding questions such as: What is 23 + 46?
Variations
After getting comfortable with these, your student may enjoy doing some Letter Substitution puzzles. Those Letter Substitution puzzles also serve as an introduction to the use of variables.